基于八面体配位的晶体正极材料是目前使用最为广泛的正极材料种类。其中,具备阴离子氧化还原的正极材料,例如富锂锰基正极、富锂岩盐相材料等,具备>250 mAh/g的比能量,成为了下一代正极材料的有力候选。然而,这类材料在高电压下会产生失氧、结构坍塌等难题,即使通过掺杂等改性手段,依然无法从根本上解决。近年来,很多前沿性研究成果聚焦正极微观结构调控,从而大幅改善电化学性能。研究表明,改变结构的配位环境与原子排布方式,可对电化学性能产生本质影响。
无定形材料是指一大类不具备周期性晶体结构的材料,可用于电极材料。无定形材料的原子排布混乱无序,往往蕴含独特的性能。但是,过往的研究更多针对晶体结构进行性能、机理分析与改性,且认为阴离子氧化还原反应仅在基于八面体配位的晶体正极中存在,关于无定形正极的相关研究鲜有深入报道。然而,近年的相关研究表明,无定形结构可改变锂离子的脱嵌机制,展示出超高比能量及良好的电化学稳定性。
为此,北京大学夏定国教授团队报道了一类基于四面体配位的无定形Li-V-O-F正极,通过深入探究其电化学反应特性及电荷补偿机制,发现了其可在较低电位下激活“氧-氧二聚”式阴离子氧化还原反应,且这一反应具备无失氧、无电压衰退、稳定性好的特点。这一发现更新了现有认知,揭示了无定形材料作为未来新型电极材料的重要性。相关工作以“An amorphous Li-V-O-F cathode with tetrahedral coordination and O-O formal redox at low voltage”为题发表于Nature Materials(https://rdcu.be/exjDA)上。
该研究工作发现,在结构无定形化后,Li-V-O-F正极在约4.1V的电压处产生了一个小的氧化平台。(图1 a,b)通过与未无定形化(晶体结构)的Li-V-O-F正极做对比,发现无定形结构在充电后会在1.3-1.5Å处产生新的配位对,这一位置对应O-O二聚体。(图1c)通过配位分析表明,无定形结构在充电后依然保持四面体配位环境。(图1d)

图1.Li-V-O-F正极的宏观结构与配位环境演化。

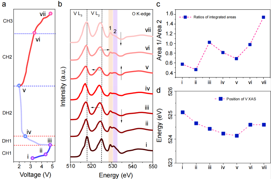
图2.Li-V-O-F正极充放电过程的氧化还原机制。
利用X射线吸收谱探测充放电过程中V离子和O离子的电子态,发现在充电到高电位后V-O杂化空穴态增加,代表过程氧化(图2b,c);而V离子展示出与之相反的价态降低(图2d),因此证明了高电位下的氧化反应由O氧化补偿,V离子展示出阴离子氧化过程特有的耦合效应。

图3.不同电化学阶段下O的mRIXS结果。
利用共振非弹性X射线散射谱(RIXS)深入探究O的氧化还原行为。无定形结构充电下,O的mRIXS图谱产生了新的指纹信号,(图3b,d)代表产生了类似过氧化物的“O-O”键合,这一信号在放电后可逆消失,(图3c)证明了无定形Li-V-O-F结构阴离子氧化还原的可逆性。

图4.晶体结构与无定形结构的分子动力学模拟计算。
利用从头算分子动力学分别模拟了晶体结构与无定形结构下,Li-V-O-F正极在脱锂后的结构演化过程。在晶体结构中,O被固定在晶体框架中,即使施加1000K的高温促使其反应,结构仍未发生明显改变;(图4 a, d, g)而同等条件下的无定形结构经历了多样的结构变化,离子混乱而无序地排布演变,促使活性O更易跨越热力学壁垒产生稳定的O-O二聚体。(图4 b,c,e,f,h)这一计算与实验结果很好地吻合,展示了无定形结构在激活O-O二聚式反应时的本征结构与热力学驱动性。

图5.无定形Li-V-O-F正极的电化学特性。
通过循环伏安法,证明了在无定形Li-V-O-F正极中以赝电容为主的电化学反应,(图5a, b)这是由于无定形结构可产生大量纳米级通道,便利锂离子快速传输。无定形Li-V-O-F正极可在1.5-4.8V下放出超300 mAh/g的高比容量,(图5c)并且在高电位充电时不产生氧气,(图5d)也不发生电压衰退现象。(图5e)这一电化学特性展现了其阴离子氧化还原反应良好的稳定性与结构可逆性。
本项工作通过先进表征与理论计算结合的方式,揭示了四面体配位无定形正极材料中的新型阴离子氧化还原机制,为高比能正极材料的研究打开了新思路。
材料科学与工程学院博士生张琨为论文的第一作者,夏定国教授为论文的唯一通讯作者。该项工作得到了国家重点研发计划、国家自然科学基金项目的支持。
DOI:10.1038/s41563-025-02293-9